OVERVIEW
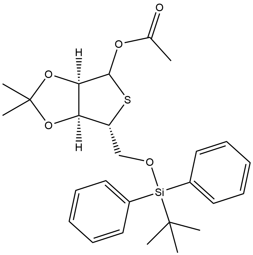
(3aR,6R,6aS)-6-(((tert-butyldiphenylsilyl)oxy)methyl)-2,2-dimethyltetrahydrothieno[3,4-d][1,3]dioxol-4-yl acetate | CAS 2410087-71-5Â is a highly specialized chiral synthetic intermediate designed for advanced organic and medicinal chemistry applications. This compound features a structurally complex sulfur-containing bicyclic core, combined with orthogonally protected functional groups that allow precise chemical manipulation in multi-step synthesis workflows.
The molecule incorporates a tert-butyldiphenylsilyl (TBDPS) protected hydroxymethyl group and an acetate ester, making it particularly valuable for controlled transformations where selectivity, stereochemical integrity, and functional group compatibility are critical. Due to its well-defined stereochemistry and chemical robustness, this compound is ideally suited for research-driven synthesis programs, including nucleoside analog development, heterocycle chemistry, and structure-guided medicinal chemistry.
CHEMICAL STRUCTURE & STEREOCHEMISTRY
The compound is built on a tetrahydrothieno[3,4-d][1,3]dioxol framework, a fused bicyclic system that combines a sulfur-containing heterocycle with an acetal-protected dioxolane ring. This scaffold provides both conformational rigidity and chemical stability, attributes that are essential when constructing complex bioactive molecules.
Three stereogenic centers — 3aR, 6R, and 6aS — are precisely defined, ensuring consistent reactivity and predictable downstream transformations. Such stereochemical control is particularly important in pharmaceutical and biochemical research, where even small configurational changes can significantly impact biological activity.
The TBDPS protecting group shields the primary alcohol functionality, offering exceptional stability under a broad range of reaction conditions. Meanwhile, the acetate moiety at the 4-position serves as an activated functional handle, enabling selective substitution or deprotection depending on synthetic requirements.
KEY FUNCTIONAL FEATURES
This compound has been deliberately designed with synthetic flexibility in mind:
-
TBDPS-Protected Primary Alcohol
The bulky tert-butyldiphenylsilyl group provides strong resistance to acidic and basic conditions, making it suitable for long reaction sequences. It can be selectively removed at later stages to expose a reactive hydroxyl group for further derivatization. -
Acetate Ester Functionality
The acetate group can participate in nucleophilic substitution, hydrolysis, or transesterification reactions, offering multiple pathways for chemical modification. -
Sulfur-Containing Bicyclic Core
The inclusion of sulfur enhances electronic diversity and expands the compound’s utility in heterocycle-focused drug discovery programs. -
Rigid Acetal Protection
The dioxol ring stabilizes the structure during synthesis and can be retained or removed depending on the desired molecular architecture.
SYNTHETIC & RESEARCH APPLICATIONS of (3aR,6R,6aS)-6-(((tert-butyldiphenylsilyl)oxy)methyl)-2,2-dimethyltetrahydrothieno[3,4-d][1,3]dioxol-4-yl acetate | CAS 2410087-71-5
This compound is primarily used as a high-value intermediate rather than a final active ingredient. Its applications span multiple advanced research domains:
Medicinal Chemistry & Drug Discovery
The rigid, stereochemically defined scaffold is well-suited for building nucleoside analogs, enzyme inhibitors, and heterocycle-based therapeutic candidates. The compound’s functional group arrangement allows stepwise elaboration without compromising structural integrity.
Chiral Building Block Development
Due to its fixed stereochemistry, the molecule serves as an excellent chiral precursor for asymmetric synthesis, enabling reliable transfer of stereochemical information to downstream targets.
Heterocyclic Chemistry
The thieno-dioxol framework supports the construction of sulfur-containing heterocycles, which are frequently explored for their unique binding and electronic properties in biological systems.
Protecting Group Strategy Optimization
The orthogonal protection provided by TBDPS and acetate groups allows chemists to fine-tune reaction sequences, selectively unveiling reactive sites only when needed.
STABILITY & HANDLING CONSIDERATIONS
As with most silyl-protected intermediates, this compound demonstrates excellent stability under neutral and mildly basic conditions. Care should be taken to avoid prolonged exposure to strong acids or fluoride sources unless intentional deprotection is desired.
The acetate ester may undergo hydrolysis under aggressive conditions, so controlled environments and anhydrous handling practices are recommended during synthesis and storage.
ROLE IN ADVANCED SYNTHESIS PROGRAMS
CAS 2410087-71-5 represents a strategic intermediate for chemists working on complex molecular architectures. Its combination of stereochemical precision, functional versatility, and protecting-group robustness makes it particularly attractive for custom synthesis, early-stage drug development, and structure-activity relationship studies.
For organizations engaged in high-level research, this compound offers a reliable starting point for building sophisticated molecules that demand exacting chemical control.
RESOLVEMASS LABORATORIES COMMITMENT
At ResolveMass Laboratories Inc., we support advanced research by supplying well-characterized, high-purity specialty compounds tailored for demanding scientific applications. This product reflects our focus on quality, structural integrity, and research-grade performance, ensuring consistency and reliability for your synthetic and analytical workflows.

![(3aR,6R,6aS)-6-(((tert-butyldiphenylsilyl)oxy)methyl)-2,2-dimethyltetrahydrothieno[3,4-d][1,3]dioxol-4-yl acetate | CAS 2410087-71-5](https://resolvemass.ca/wp-content/uploads/2026/01/3aR6R6aS-6-tert-butyldiphenylsilyloxymethyl-22-dimethyltetrahydrothieno34-d13dioxol-4-yl-acetate-CAS-2410087-71-5.png)

![3-iodo-1H-pyrazolo[3,4-d]pyrimidin-4-amine | CAS 151266-23-8](https://resolvemass.ca/wp-content/uploads/2026/01/3-iodo-1H-pyrazolo34-dpyrimidin-4-amineCAS-151266-23-8-300x300.png)


Reviews
There are no reviews yet.